流量儀表系列
- 液體流量計
- 空氣流量計
- 蒸汽流量計
- 孔板流量計
- V錐流量計
- 一體化孔板流量計
- 電磁流量計
- 渦街流量計
- 彎管流量計
- 金屬管浮子流量計
- 超聲波流量計
- 阿牛巴流量計
- 威力巴流量計
- 旋進旋渦流量計
- 渦輪流量計
- 玻璃轉子流量計
- 橢圓齒輪流量計
- 平衡流量計
- 楔形流量計
- 靶式流量計
- 熱式氣體質量流量計
- 旋翼式流量計
- 噴嘴氣體流量計
- 噴嘴流量計
- 三閥組
液位儀表系列
江蘇恒大儀表有限公司
聯系人:楊經理
手機:13915187193
電話:0517-86500226
傳真:0517-86800636
郵箱:jshdyb@163.com
地址:江蘇省金湖縣工業園區
超聲波流量計的優勢
日期:2023-02-07 點擊量:
1.超聲波流量計的優勢
超聲波流量計實現流道內流速、流量的測定,是一種典型的非接觸式測量方式,它在實際的測量應用中具有良好優勢。第一,超聲波流量計對流體流動本身產生的干擾較少,流體阻力較小,并不容易產生壓力損失,效率較高;第二,超聲波流量計的使用在很大程度上并不受介質物理特征的影響,適應性較強;第三,超聲波流量計更適用于高溫、高壓的環境,尤其在防腐蝕、防爆、防渾濁度大的液體環境下工作效率更高,準確度也更高;第四,超聲波流量計具有更為廣泛的測量范圍,一般來說,其測量里程可以達到5:1,測量輸出的結果與流量之間表現出線性關系,更便于進行統計分析;第五,超聲波流量計的安裝更為簡便,對安裝環境以及安裝人員的技術水平要求并不高。
2.超聲波測流基本原理
超聲波流量計一般由流量計主機(二次儀表)、超聲波換能器(含換能器電纜)、超聲波信號發送接收裝置(采集時間信號)及其他配套附件組成。超聲傳播時間法通過測量超聲在流體中傳播的時間來計算流體的流速和流量。
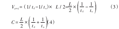
如圖1所示,一對換能器A和B以聲道長度L、聲道角φ安裝在流道2側,流體中超聲傳播速度C會與聲道投影流速Vproj→Vcosφ疊加,造成超聲從下游到上游換能器的傳播時間tu小于從上游到下游換能器的傳播時間td那么,其計算如式1~4所示。
tu=L/(C-Vproj)(1)
td=L/(C+Vproj)(2)
由此可以同時得到聲道投影速度Vproj和聲速C,,進而可以得到聲道的軸向線平均流速如式(5)所示。
式中:tu為超聲波在流體中逆流(由B到A)傳播的時間,s;td為超聲波在流體中順流(由A到B)傳播的時間,s;L為聲道長度,m;V為流體的軸向線平均流速,m/s;0為聲道角,(°)。
超聲波流量計是在上述原理的基礎上,在流道內按照--定的規則設置多條聲道,將各條聲道測得的流道軸向線平均流速采用相應的積分方法進行積分計算,從而得到流道內流體的總流量。這種時差式超聲波流量計方案,能夠利用常年“暢流期”條件,有利于泵站水量計算,避免了人為選擇推流計算參數而引起較大誤差的問題。
3.流量測量方案
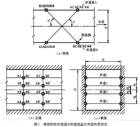
泵站進水流道中間設有導流墩,左右2個流道,截面為變斷面矩形,參考相關規程和流道的幾何尺寸,將站機組流量測量方案確定為8聲道流量計聲道布置形式(圖2~3)。常用的超聲波流量計的流量積分方法,有高斯-雅克比法、圓形優化法、高斯-勒讓德法及矩形優化法等,針對不同流道形式有不同應用。



超聲波流量計實現流道內流速、流量的測定,是一種典型的非接觸式測量方式,它在實際的測量應用中具有良好優勢。第一,超聲波流量計對流體流動本身產生的干擾較少,流體阻力較小,并不容易產生壓力損失,效率較高;第二,超聲波流量計的使用在很大程度上并不受介質物理特征的影響,適應性較強;第三,超聲波流量計更適用于高溫、高壓的環境,尤其在防腐蝕、防爆、防渾濁度大的液體環境下工作效率更高,準確度也更高;第四,超聲波流量計具有更為廣泛的測量范圍,一般來說,其測量里程可以達到5:1,測量輸出的結果與流量之間表現出線性關系,更便于進行統計分析;第五,超聲波流量計的安裝更為簡便,對安裝環境以及安裝人員的技術水平要求并不高。
2.超聲波測流基本原理
超聲波流量計一般由流量計主機(二次儀表)、超聲波換能器(含換能器電纜)、超聲波信號發送接收裝置(采集時間信號)及其他配套附件組成。超聲傳播時間法通過測量超聲在流體中傳播的時間來計算流體的流速和流量。
如圖1所示,一對換能器A和B以聲道長度L、聲道角φ安裝在流道2側,流體中超聲傳播速度C會與聲道投影流速Vproj→Vcosφ疊加,造成超聲從下游到上游換能器的傳播時間tu小于從上游到下游換能器的傳播時間td那么,其計算如式1~4所示。
tu=L/(C-Vproj)(1)
td=L/(C+Vproj)(2)
由此可以同時得到聲道投影速度Vproj和聲速C,,進而可以得到聲道的軸向線平均流速如式(5)所示。
式中:tu為超聲波在流體中逆流(由B到A)傳播的時間,s;td為超聲波在流體中順流(由A到B)傳播的時間,s;L為聲道長度,m;V為流體的軸向線平均流速,m/s;0為聲道角,(°)。
超聲波流量計是在上述原理的基礎上,在流道內按照--定的規則設置多條聲道,將各條聲道測得的流道軸向線平均流速采用相應的積分方法進行積分計算,從而得到流道內流體的總流量。這種時差式超聲波流量計方案,能夠利用常年“暢流期”條件,有利于泵站水量計算,避免了人為選擇推流計算參數而引起較大誤差的問題。
3.流量測量方案
泵站進水流道中間設有導流墩,左右2個流道,截面為變斷面矩形,參考相關規程和流道的幾何尺寸,將站機組流量測量方案確定為8聲道流量計聲道布置形式(圖2~3)。常用的超聲波流量計的流量積分方法,有高斯-雅克比法、圓形優化法、高斯-勒讓德法及矩形優化法等,針對不同流道形式有不同應用。



上一篇:渦街流量計的實驗結果與分析?
下一篇:電磁流量計的局限性和不足?
相關新聞
- 2025-09-30液體流量計可以測量腐蝕性液體嗎?
- 2025-09-30孔板流量計的壓力損失大嗎?
- 2025-09-16液體流量計的精度受哪些因素影響?
- 2025-09-16液體流量計的測量范圍是多少?
- 2025-08-19大管道流量測量用插入式流量計還是管道式流量計?



